马拉松发电机下垂特性是因为发电机带载运行,有功率就要靠动机来分配,无功率就靠发电机分配发电机功率增加转速下降,就会出现马拉松发电机下垂特性。那么,马拉松发电机下垂特性怎么调整呢?下面我们就来了解一下怎么调整马拉松发电机下垂特性。

1、马拉松发电机一次调频会出现有差调节过程,发电机组输出的功率增加,频率就会下降,发电机的输出功率和频率之间为有功频率特性。
2、通过P/f下垂控制和Q/V下垂控制获取频率和电压,对发电机输出的有功功率和无功功率进行控制。
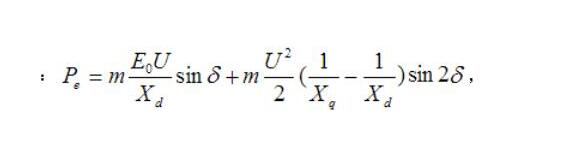
3、有功功率计算方式:

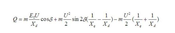
4、无功功率计算方式:

5、通常马拉松发电机下垂特性实现电网中微电源并联运行,通过下垂特性得到输出电压频率和幅值,合理分配有功功率和无功功率。
6、低压微电网线路组的影响,使有功功率和无功功率的电压和频率还是存在关系。
7、发电机一般都会安装下垂补偿电流互感器,将电流相位角反馈至AVR来完成。
8、电流互感器取样电阻装在AVR板上,电阻部分电压加至AVR线路,旋转下垂调节电位器调整下垂。
9、各台发电机无功分配平等环流小,也可增大或见效电压使无功接近零,但应保证电压在规定范围内。
马拉松发电机下垂特性调整主要是输出电压频率和电流,如何合理的分配有功功率和无功功率,才能使得马拉松发电机下垂特性调整好,而算出马拉松发电机有功功率和无功功率公式也是其中的一个步骤,操作起来其实也挺复杂的,可以找专业人士调整马拉松发电机下垂特性。
马拉松,发电机,下垂,特性,怎么,调整,马拉松,
公司地址 : 上海市嘉定区宝安公路2999弄
公司邮箱 : 19121986111@163.com
公司电话 :?021-6992-5088